

学龄儿童营养与健康
学龄儿童是指从6周岁到不满18周岁的未成年人。
学龄儿童正处于生长发育阶段,对能量和营养素的需要量相对高于成年人。全面充足的营养是其正常生长发育乃至一生健康的物质保障,因此更需要强调合理膳食。


1、从小养成健康的饮食行为。吃好一日三餐,做到三餐规律;不偏食、挑食、不过度节食、不暴饮暴食;日常饮食应少盐、少油、少糖;警惕“隐形盐”的摄入;限制含反式脂肪酸食物的摄入,如人造奶油蛋糕,起酥糕点等。
2、吃好早餐。早餐时间:6:30-8:30之间,吃饭时长15-20分钟,应包含谷薯类、蔬果类、动物性食物、大豆坚果类中的3类及以上的食物,而且早餐食物量要充足。
3、合理选择零食。在正餐为主的基础上合理选择零食,零食不能代替正餐,也不应影响正餐;零食应选择干净卫生、营养价值高的一些食物,比如原味的坚果、新鲜的水果、奶及奶制品;含盐油或添加糖高的食品不宜作为零食。
4、在外就餐(包括外卖)要做到合理搭配。应选择食品安全状况良好、卫生信誉度高的餐饮单位点餐;食物多样,选择含蔬菜水果相对丰富的菜品,少吃高盐高油高添加糖的食物。
5、选择健康饮品。1)天天喝奶。学龄儿童每天应摄入300ml及以上液态奶或相当量的奶制品。乳糖不耐受的学龄儿童可选择酸奶,奶酪或其他低乳糖产品。对于睡觉比较晚的初三、高三的学生,可以在晚上8点~9点喝一杯牛奶。2)足量饮水。水是最天然的饮品,少量多次饮水、每个课间喝100~200ml的水、不等口渴后再喝水,每日饮水800-1400ml或以上,出汗较多时应适量增加饮水量。3)不喝含糖饮料。过量饮用含糖饮料会增加龋齿,肥胖等疾病的风险,选购时查看包装上的营养成分表,选择碳水化合物或糖含量低的饮料。4)禁止饮酒和含酒精饮料。家长要避免当着孩子的面饮酒,不诱导孩子去尝试。
6、积极开展身体活动。1)开展规律、多样的身体活动。做到每天进行累计至少60分钟以上有氧运动为主的中高强度身体活动:如球类、快跑,游泳,健美操,追逐游戏等;每周应有3天增强肌肉力量和骨健康的运动,如仰卧卷腹,俯卧撑,平板平板撑,引起向上跳绳,跳高,跳远和爬山等;2)减少视频等久坐行为的时间。家长、老师应在学龄儿童坐姿时间大于60分钟时提醒他们进行适当的身体活动。3)共建安全、便利的身体活动环境。家庭、学校应和孩子一起制定生活动计划,合理分配学习、身体活动和睡眠时间。
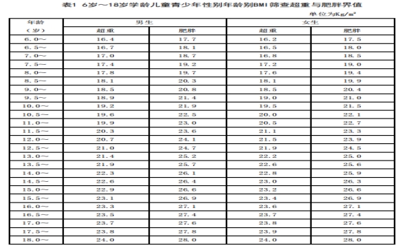
7、保持适宜的体重增长。
1、定期监测身高和体重。应至少每周自测一次体重,每季度自测一次身高,每年至少进行一次身高体重测量及性征发育检查;对生长缓慢、性发育明显提前和落后、营养不良或肥胖的儿童,应及时医院检查。
2、预防和改善营养不足。对已经属于营养不良的儿童,要在保证能量摄入充足的基础上,增加鱼,禽蛋,瘦肉,豆制品等富含优质蛋白质食物的摄入。每天食用奶及奶制品,每天吃新鲜的蔬菜和水果。纠正偏食、挑食和过度节食等不健康行为。
预防和控制肥胖。通过合理膳食和充足身体活动来保持学龄儿童体重的适宜增长。学龄儿童肥胖的防控需要家庭、学校和社会的共同参与,父母需以身作则。

参考文献
1. 杨月欣,杨晓光等。中国居民膳食指南(2022);人民卫生出版社,第5版(2022)
2. 孙长颢,凌文华等。营养与食品卫生学;人民卫生出版社,第8版(2017)
3.季成业,马冠生等。学龄儿童青少年超重与肥胖筛查;中华人民共和国卫生行业标准(2018)